Page 30 - San Bartolomé Ayautla
P. 30
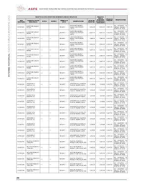
AUDITORÍA SUPERIOR DE FISCALIZACIÓN DEL ESTADO DE OAXACA
INFORME INDIVIDUAL CUENTA PÚBLICA MUNICIPAL 2022 REGISTRADO EN EL INVENTARIO DE BIENES MUEBLES E INMUEBLES REGISTRO
SEGÚN
NUM CONCEPTO DE BIEN NÚMERO DE VALOR DE PÓLIZA DE OBSERVACIONES
SERIE REGISTRO INVENTARIO REGISTRO
MARCA MODELO OBSERVACIONES PRESENTADO
INVENTARIO REGISTRADO POR EL ENTE
5110100224 ESCRITORIO BILBAO ---- ---- SIN DATO ESCRITORIO MODELO 4,982.20 4,982.20 D-001735 NO REGISTRÓ LA
NEGRO BILBAO COLOR NEGRO MARCA, MODELO Y
LARGO NÚMERO DE SERIE
5110100225 ESCRITORIO BILBAO ---- ---- SIN DATO ESCRITORIO MODELO 4,982.20 4,982.20 D-001735 NO REGISTRÓ LA
NEGRO BILBAO COLOR NEGRO MARCA, MODELO Y
LARGO NÚMERO DE SERIE
5110100226 ESCRITORIO BILBAO ---- ---- SIN DATO ESCRITORIO MODELO 4,982.20 4,982.20 D-001735 NO REGISTRÓ LA
NEGRO BILBAO COLOR NEGRO MARCA, MODELO Y
LARGO NÚMERO DE SERIE
5110100227 ESCRITORIO BILBAO ---- ---- SIN DATO ESCRITORIO MODELO 4,982.20 4,982.20 D-001735 NO REGISTRÓ LA
NEGRO BILBAO COLOR NEGRO MARCA, MODELO Y
LARGO NÚMERO DE SERIE
5110100228 ESCRITORIO BILBAO ---- ---- SIN DATO ESCRITORIO MODELO 4,982.20 4,982.20 D-001735 NO REGISTRÓ LA
NEGRO BILBAO COLOR NEGRO MARCA, MODELO Y
LARGO NÚMERO DE SERIE
5110100229 ESCRITORIO BILBAO ---- ---- SIN DATO ESCRITORIO MODELO 4,982.20 4,982.20 D-001735 NO REGISTRÓ LA
NEGRO BILBAO COLOR NEGRO MARCA, MODELO Y
LARGO NÚMERO DE SERIE
5110100230 ESCRITORIO BILBAO ---- ---- SIN DATO ESCRITORIO MODELO 4,982.20 4,982.20 D-001735 NO REGISTRÓ LA
NEGRO BILBAO COLOR NEGRO MARCA, MODELO Y
LARGO NÚMERO DE SERIE
5110100231 ESCRITORIO BILBAO ---- ---- SIN DATO ESCRITORIO MODELO 4,982.20 4,982.20 D-001735 NO REGISTRÓ LA
NEGRO BILBAO COLOR NEGRO MARCA, MODELO Y
LARGO NÚMERO DE SERIE
5110100232 ESCRITORIO BILBAO ---- ---- SIN DATO ESCRITORIO MODELO 4,982.20 4,982.20 D-001735 NO REGISTRÓ LA
NEGRO BILBAO COLOR NEGRO MARCA, MODELO Y
LARGO NÚMERO DE SERIE
5110100233 ESCRITORIO BILBAO ---- ---- SIN DATO ESCRITORIO MODELO 4,982.20 4,982.20 D-001735 NO REGISTRÓ LA
NEGRO BILBAO COLOR NEGRO MARCA, MODELO Y
LARGO NÚMERO DE SERIE
5110100234 ARCHIVERO 4 ---- ---- SIN DATO ARCHIVERO DE 4 GAVETAS 5,168.96 5,168.96 D-001735 NO REGISTRÓ LA
GAVETAS T/C HOJA DE TAMAÑO CARTA MARCA, MODELO Y
NÚMERO DE SERIE
5110100235 ARCHIVERO 4 ---- ---- SIN DATO ARCHIVERO DE 4 GAVETAS 5,168.96 5,168.96 D-001735 NO REGISTRÓ LA
GAVETAS T/C HOJA DE TAMAÑO CARTA MARCA, MODELO Y
NÚMERO DE SERIE
5110100236 ARCHIVERO 4 ---- ---- SIN DATO ARCHIVERO DE 4 GAVETAS 5,168.96 5,168.96 D-001735 NO REGISTRÓ LA
GAVETAS T/C HOJA DE TAMAÑO CARTA MARCA, MODELO Y
NÚMERO DE SERIE
5110100237 ARCHIVERO 4 ---- ---- SIN DATO ARCHIVERO DE 4 GAVETAS 5,168.96 5,168.96 D-001735 NO REGISTRÓ LA
GAVETAS T/C HOJA DE TAMAÑO CARTA MARCA, MODELO Y
NÚMERO DE SERIE
5110100238 ARCHIVERO 4 ---- ---- SIN DATO ARCHIVERO DE 4 GAVETAS 5,168.96 5,168.96 D-001735 NO REGISTRÓ LA
GAVETAS T/C HOJA DE TAMAÑO CARTA MARCA, MODELO Y
NÚMERO DE SERIE
5110100239 ARCHIVERO 4 ---- ---- SIN DATO ARCHIVERO DE 4 GAVETAS 5,168.96 5,168.96 D-001735 NO REGISTRÓ LA
GAVETAS T/C HOJA DE TAMAÑO CARTA MARCA, MODELO Y
NÚMERO DE SERIE
5110100240 ARCHIVERO 4 ---- ---- SIN DATO ARCHIVERO DE 4 GAVETAS 5,168.96 5,168.96 D-001735 NO REGISTRÓ LA
GAVETAS T/C HOJA DE TAMAÑO CARTA MARCA, MODELO Y
NÚMERO DE SERIE
5110100241 ARCHIVERO 4 ---- ---- SIN DATO ARCHIVERO DE 4 GAVETAS 5,168.96 5,168.96 D-001735 NO REGISTRÓ LA
GAVETAS T/C HOJA DE TAMAÑO CARTA MARCA, MODELO Y
NÚMERO DE SERIE
5110100242 ARCHIVERO 4 ---- ---- SIN DATO ARCHIVERO DE 4 GAVETAS 5,168.96 5,168.96 D-001735 NO REGISTRÓ LA
GAVETAS T/C HOJA DE TAMAÑO CARTA MARCA, MODELO Y
NÚMERO DE SERIE
5110100243 ARCHIVERO 4 ---- ---- SIN DATO ARCHIVERO DE 4 GAVETAS 5,168.96 5,168.96 D-001735 NO REGISTRÓ LA
GAVETAS T/C HOJA DE TAMAÑO CARTA MARCA, MODELO Y
NÚMERO DE SERIE
5110100244 SILLA DE TRABAJO 4 ---- ---- SIN DATO SILLA DE TRABAJO 4 2,083.36 2,083.36 D-001735 NO REGISTRÓ LA
TUNE GRIS MODELO TUNE COLOR GRIS MARCA, MODELO Y
NÚMERO DE SERIE
5110100245 SILLA DE TRABAJO 4 ---- ---- SIN DATO SILLA DE TRABAJO 4 2,083.36 2,083.36 D-001735 NO REGISTRÓ LA
TUNE GRIS MODELO TUNE COLOR GRIS MARCA, MODELO Y
NÚMERO DE SERIE
5110100246 SILLA DE TRABAJO 4 ---- ---- SIN DATO SILLA DE TRABAJO 4 2,083.36 2,083.36 D-001735 NO REGISTRÓ LA
TUNE GRIS MODELO TUNE COLOR GRIS MARCA, MODELO Y
NÚMERO DE SERIE
5110100247 SILLA DE TRABAJO 4 ---- ---- SIN DATO SILLA DE TRABAJO 4 2,083.36 2,083.36 D-001735 NO REGISTRÓ LA
TUNE GRIS MODELO TUNE COLOR GRIS MARCA, MODELO Y
NÚMERO DE SERIE
5110100248 SILLA DE TRABAJO 4 ---- ---- SIN DATO SILLA DE TRABAJO 4 2,083.36 2,083.36 D-001735 NO REGISTRÓ LA
TUNE GRIS MODELO TUNE COLOR GRIS MARCA, MODELO Y
NÚMERO DE SERIE
5110100249 SILLA DE TRABAJO 4 ---- ---- SIN DATO SILLA DE TRABAJO 4 2,083.36 2,083.36 D-001735 NO REGISTRÓ LA
TUNE GRIS MODELO TUNE COLOR GRIS MARCA, MODELO Y
NÚMERO DE SERIE
28

