Page 31 - San Bartolomé Ayautla
P. 31
AUDITORÍA SUPERIOR DE FISCALIZACIÓN DEL ESTADO DE OAXACA
REGISTRADO EN EL INVENTARIO DE BIENES MUEBLES E INMUEBLES REGISTRO INFORME INDIVIDUAL CUENTA PÚBLICA MUNICIPAL 2022
SEGÚN
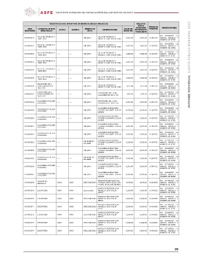
NUM CONCEPTO DE BIEN NÚMERO DE VALOR DE PÓLIZA DE OBSERVACIONES
SERIE REGISTRO INVENTARIO REGISTRO
MARCA MODELO OBSERVACIONES PRESENTADO
INVENTARIO REGISTRADO POR EL ENTE
5110100250 SILLA DE TRABAJO 4 ---- ---- SIN DATO SILLA DE TRABAJO 4 2,083.36 2,083.36 D-001735 NO REGISTRÓ LA
TUNE GRIS MODELO TUNE COLOR GRIS MARCA, MODELO Y
NÚMERO DE SERIE
5110100251 SILLA DE TRABAJO 4 ---- ---- SIN DATO SILLA DE TRABAJO 4 2,083.36 2,083.36 D-001735 NO REGISTRÓ LA
TUNE GRIS MODELO TUNE COLOR GRIS MARCA, MODELO Y
NÚMERO DE SERIE
5110100252 SILLA DE TRABAJO 4 ---- ---- SIN DATO SILLA DE TRABAJO 4 2,083.36 2,083.36 D-001735 NO REGISTRÓ LA
TUNE GRIS MODELO TUNE COLOR GRIS MARCA, MODELO Y
NÚMERO DE SERIE
5110100253 SILLA DE TRABAJO 4 ---- ---- SIN DATO SILLA DE TRABAJO 4 2,083.36 2,083.36 D-001735 NO REGISTRÓ LA
TUNE GRIS MODELO TUNE COLOR GRIS MARCA, MODELO Y
NÚMERO DE SERIE
5110100254 SILLA DE TRABAJO 4 ---- ---- SIN DATO SILLA DE TRABAJO 4 2,083.36 2,083.36 D-001735 NO REGISTRÓ LA
TUNE GRIS MODELO TUNE COLOR GRIS MARCA, MODELO Y
NÚMERO DE SERIE
5110100255 SILLA DE TRABAJO 4 ---- ---- SIN DATO SILLA DE TRABAJO 4 2,083.36 2,083.36 D-001735 NO REGISTRÓ LA
TUNE GRIS MODELO TUNE COLOR GRIS MARCA, MODELO Y
NÚMERO DE SERIE
5110100256 ESCRITORIO EN L ---- ---- SIN DATO SILLA DE TRABAJO 4 4,711.84 4,711.84 D-001735 NO REGISTRÓ LA
CON CAJONERA DE MODELO TUNE COLOR GRIS MARCA, MODELO Y
150 X 170 NÚMERO DE SERIE
5110100257 ESCRITORIO EN L ---- ---- SIN DATO ESCRITORIO EN L CON 4,711.84 4,711.84 D-001735 NO REGISTRÓ LA
CON CAJONERA DE CAJONERA DE 150 X 170 MARCA, MODELO Y
150 X 170 NÚMERO DE SERIE
5110100258 CAJONERA I/FOLDER ---- ---- SIN DATO ESCRITORIO EN L CON 4,205.00 4,205.00 D-001735 NO REGISTRÓ LA
COLGANTE CAJONERA DE 150 X 170 MARCA, MODELO Y
NÚMERO DE SERIE
5110100259 CAJONERA I/FOLDER ---- ---- SIN DATO CAJONERA NUEVA PARA 4,205.00 4,205.00 D-001735 NO REGISTRÓ LA
COLGANTE FOLDER COLGANTE COLOR MARCA, MODELO Y
NEGRO NÚMERO DE SERIE
5110100260 CAJONERA I/FOLDER ---- ---- SIN DATO CAJONERA NUEVA PARA 4,205.00 4,205.00 D-001735 NO REGISTRÓ LA
COLGANTE FOLDER COLGANTE COLOR MARCA, MODELO Y
NEGRO NÚMERO DE SERIE
5110100261 CAJONERA I/FOLDER ---- ---- SIN DATO CAJONERA NUEVA PARA 4,205.00 4,205.00 D-001735 NO REGISTRÓ LA
COLGANTE FOLDER COLGANTE COLOR MARCA, MODELO Y
NEGRO NÚMERO DE SERIE
5110100262 CAJONERA I/FOLDER ---- ---- SIN DATO CAJONERA NUEVA PARA 4,205.00 4,205.00 D-001735 NO REGISTRÓ LA
COLGANTE FOLDER COLGANTE COLOR MARCA, MODELO Y
NEGRO NÚMERO DE SERIE
5110100263 CAJONERA I/FOLDER ---- ---- SIN NUMERO CAJONERA NUEVA PARA 4,205.00 4,205.00 D-001735 NO REGISTRÓ LA
COLGANTE DE SERIE FOLDER COLGANTE COLOR MARCA, MODELO Y
NEGRO NÚMERO DE SERIE
5110100264 CAJONERA I/FOLDER ---- ---- SIN DATO CAJONERA NUEVA PARA 4,205.00 4,205.00 D-001735 NO REGISTRÓ LA
COLGANTE FOLDER COLGANTE COLOR MARCA, MODELO Y
NEGRO NÚMERO DE SERIE
5110100265 CAJONERA I/FOLDER ---- ---- SIN NUMERO CAJONERA NUEVA PARA 4,205.00 4,205.00 D-001735 NO REGISTRÓ LA
COLGANTE DE SERIE FOLDER COLGANTE COLOR MARCA, MODELO Y
NEGRO NÚMERO DE SERIE
5110100266 CAJONERA I/FOLDER ---- ---- SIN DATO CAJONERA NUEVA PARA 4,205.00 4,205.00 D-001735 NO REGISTRÓ LA
COLGANTE FOLDER COLGANTE COLOR MARCA, MODELO Y
NEGRO NÚMERO DE SERIE
5110100267 CAJONERA I/FOLDER ---- ---- SIN DATO CAJONERA NUEVA PARA 4,205.00 4,205.00 D-001735 NO REGISTRÓ LA
COLGANTE FOLDER COLGANTE COLOR MARCA, MODELO Y
NEGRO NÚMERO DE SERIE
5110100268 ARCHIVERO 0000 0000 ARCHIVERO METALICO DE 11,018.00 11,018.00 D-001938 NO REGISTRÓ LA
METALICO DESCONOCIDO OFICINA CARTA 16255 CON MARCA, MODELO Y
NÚMERO DE SERIE
4 GAVETAS NEGRO MUNDO
5110100269 ESCRITORIO 0000 0000 desconocido NUEVO ESCRITORIO KLIK 5,509.00 5,509.00 D-001938 NO REGISTRÓ LA
MODELO LUCA COLOR MARCA, MODELO Y
BEIGE NÚMERO DE SERIE
5110100270 ESCRITORIO 0000 0000 NUEVO ESCRITORIO KLIK 5,509.00 5,509.00 D-001938 NO REGISTRÓ LA
DESCONOCIDO MODELO LUCA COLOR MARCA, MODELO Y
NÚMERO DE SERIE
BEIGE
5110100271 ESCRITORIO 0000 0000 NUEVO ESCRITORIO KLIK 5,509.00 5,509.00 D-001938 NO REGISTRÓ LA
DESCONOCIDO MODELO LUCA COLOR MARCA, MODELO Y
NÚMERO DE SERIE
BEIGE
5110100272 ESCRITORIO 0000 0000 NUEVO ESCRITORIO KLIK 5,509.00 5,509.00 D-001938 NO REGISTRÓ LA
DESCONOCIDO MODELO LUCA COLOR MARCA, MODELO Y
NÚMERO DE SERIE
BEIGE
5110100273 ESCRITORIO 0000 0000 NUEVO ESCRITORIO KLIK 5,509.00 5,509.00 D-001938 NO REGISTRÓ LA
DESCONOCIDO MODELO LUCA COLOR MARCA, MODELO Y
NÚMERO DE SERIE
BEIGE
5110100274 ESCRITORIO 0000 0000 NUEVO ESCRITORIO KLIK 5,509.00 5,509.00 D-001938 NO REGISTRÓ LA
DESCONOCIDO MODELO LUCA COLOR MARCA, MODELO Y
NÚMERO DE SERIE
BEIGE
29

